Brettsperrholz, Bemessung
Die Bemessung von Brettsperrholz erfolgt getrennt für die Längs- und die Querrichtung. Dazu wird nur der in der jeweiligen Richtung liegende Nettoquerschnitt verwendet.
Plattenschnittgrößen
Die Bemessung erfolgt für folgende Schnittgrößen:


Scheibenschnittgrößen
Die Bemessung erfolgt für folgende Schnittgrößen:


Einzelspannungen und Interaktion
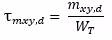
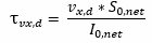
Aus den Schnittgrößen werden zunächst folgende Einzelspannungen berechnet und mit den zulässigen Spannungen verglichen.
| Element | Schnittgröße | Berechnung | Zulässig | Interaktion σx | Interaktion σy | Interaktion τ | Interaktion τR |
| Platte | Biegemoment mx | ![]() | ![]() | X | |||
| Platte | Biegemoment my | ![]() | ![]() | X | |||
| Platte | Drillmoment mxy | ![]() | ![]() | X | X | ||
| Platte | Schubkraft vx | ![]() | ![]() | . | X | X | |
![]() | ![]() | X | X | ||||
| Platte | Schubkraft vy | ![]() | ![]() | X | X | ||
![]() | ![]() | X | X | ||||
| Scheibe | Normalkraft nx | ![]() | ![]() | X | |||
| Scheibe | Normalkraft ny | ![]() | ![]() | X | |||
| Scheibe | Normalkraft nxy | ![]() | ![]() | X | X |
Spannungsnachweise
Die Spannungsnachweise werden mit folgenden Formeln aus den Verhältnissen der Einzelspannungen berechnet.
| σx | Interaktion |
| σx | ![]() |
| σy | ![]() |
| τ | ![]() |
| τR | ![]() |


















