Brettsperrholz, Steifgigkeiten
Brettsperrholz besteht aus mehreren aufeinanderliegenden Brettlagen, deren Fasern zueinander senkrecht verlaufen. Dadurch handelt es sich um ein orthotropes Material. Die Querlagen werden durch Schub senkrecht zur Längsrichtung belastet (Rollschub). Der Rollschubmodul ist wesentlich geringer als der Schubmodul in Längsrichtung. Deshalb tritt in den Querlagen eine recht große Schubverformung auf, die bis zu 20% der Biegeverformung erreichen kann.
Steifkeitsmatrizen
Bei der Berechnung der Steifigkeitsmatrizen werden nur die Anteile des Querschnitts in ihrer jeweiligen Faserrichtung angesetzt. Die Nebendiagonalelemente sind unbesetzt. Die Steifigkeitsmatrix sieht folgendermaßen aus:
| Element | Schnittgröße | 1 | 2 | 3 | 4 | 5 | 6 | 7 | 8 | Verformung |
| Platte | Biegemoment mx | E11 | Verdrehung um X | |||||||
| Platte | Biegemoment my | E22 | Verdrehung um Y | |||||||
| Platte | Drillmoment mxy | E33 | Verdrillung um X | |||||||
| Platte | Schubkraft vx | E44 | Abscheren in X | |||||||
| Platte | Schubkraft vy | E55 | Abscheren in Y | |||||||
| Scheibe | Normalkraft nx | E66 | Verformung in X | |||||||
| Scheibe | Normalkraft ny | E77 | Verformung in Y | |||||||
| Scheibe | Normalkraft nxy | E88 | Torsion in Scheibenebene |
E11
Die Biegesteifigkeit entspricht der Summe der Steifigkeit der Lagen, deren Fasern in X-Richtung liegen. Die Steifigkeit der Lagen in der Y-Richtung bleibt unberücksichtigt.


E22
Die Biegesteifigkeit entspricht der Summe der Steifigkeit der Lagen, deren Fasern in Y-Richtung liegen. Die Steifigkeit der Lagen in der X-Richtung bleibt unberücksichtigt.


E33
Bei Brettsperrholz existiert keine Kopplung zwischen der Schubsteifigkeit und der Biegesteifigkeit. Die Drillsteifigkeit wird daher entkoppelt von den Plattensteifigkeiten berechnet.
Die Drillsteifigkeit wird mit einem gemittelten G-Modul für alle Schichten berechnet..
Da die Drillsteifigkeit über die Höhe nicht konstant ist, sollte sie nach "Brettsperrholz Bemessung: Grundlagen für Statik und Konstruktion nach Eurocode, pro:Holz Austria" um den Faktor k33 = 0.65 abgemindert werden.

Die Drillsteifigkeit wird mit einem gemittelten G-Modul für alle Schichten berechnet..
Da die Drillsteifigkeit über die Höhe nicht konstant ist, sollte sie nach "Brettsperrholz Bemessung: Grundlagen für Statik und Konstruktion nach Eurocode, pro:Holz Austria" um den Faktor k33 = 0.65 abgemindert werden.

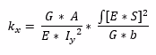
E44
Die ermittelte Schubsteifigkeit wird mit einem Schubkorrekturfaktor abgemindert. Der Schubkorrekturfaktor wird programmintern aus dem Gleichgewicht der Biege- mit den Schubspannungen ermittelt.


E55
Die Schubsteifigkeit in Y-Richtung.


E66
Die Dehnsteifigkeit entspricht der Summe der Steifigkeit der Lagen, deren Fasern in X-Richtung liegen. Die Steifigkeit der Lagen in der Y-Richtung bleibt unberücksichtigt.


E77
Die Dehnsteifigkeit entspricht der Summe der Steifigkeit der Lagen, deren Fasern in Y-Richtung liegen. Die Steifigkeit der Lagen in der X-Richtung bleibt unberücksichtigt.


E88
Die Schubsteifigkeit der Scheibe kann mit dem Faktor "F88" abgemindert werden.

